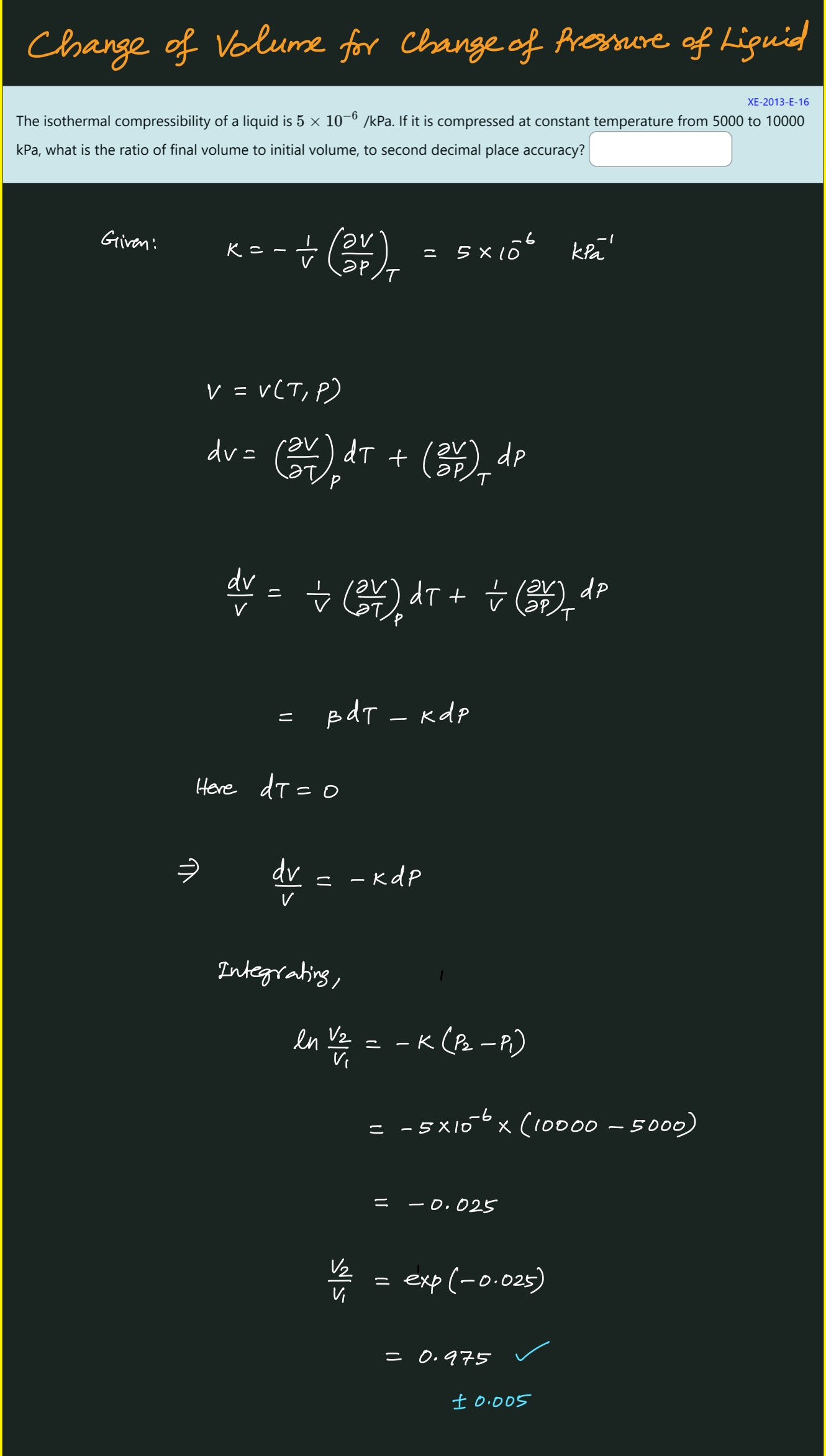
1. Thermodynamic Relations

1.1. Change of Volume for Change of Pressure of Liquid