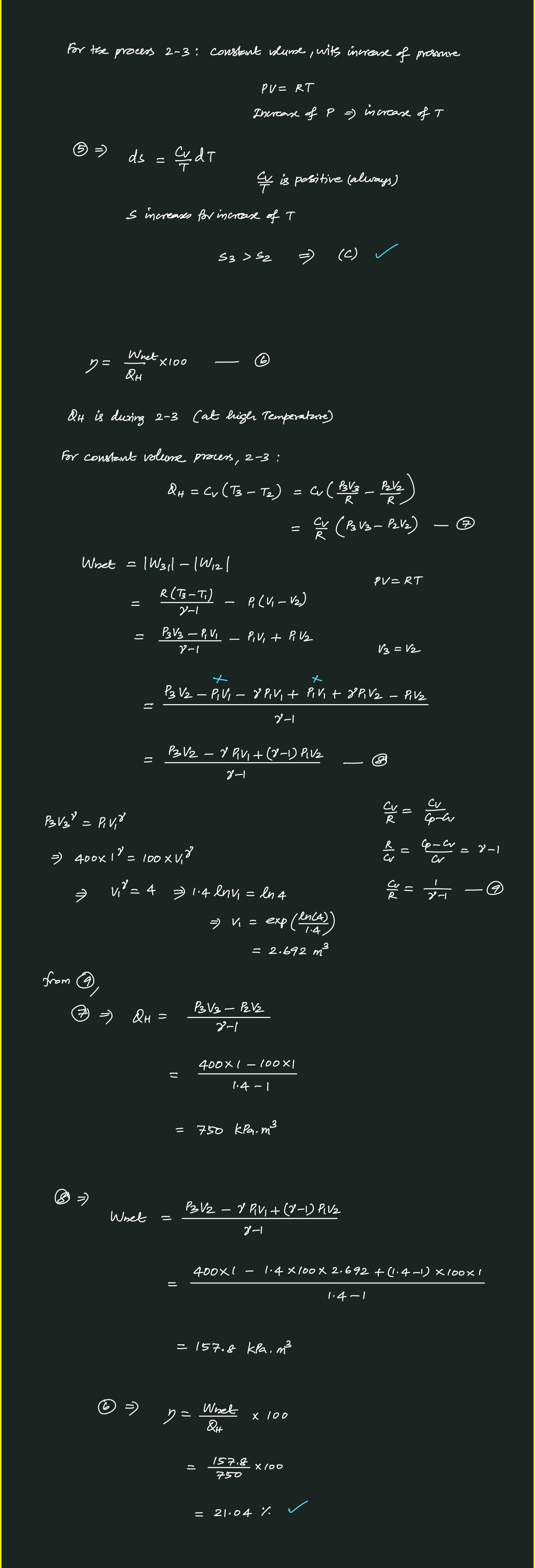
1. Thermodynamic Relations

1.2. PV to TS Diagram & Efficiency of Thermodynamic Cycle