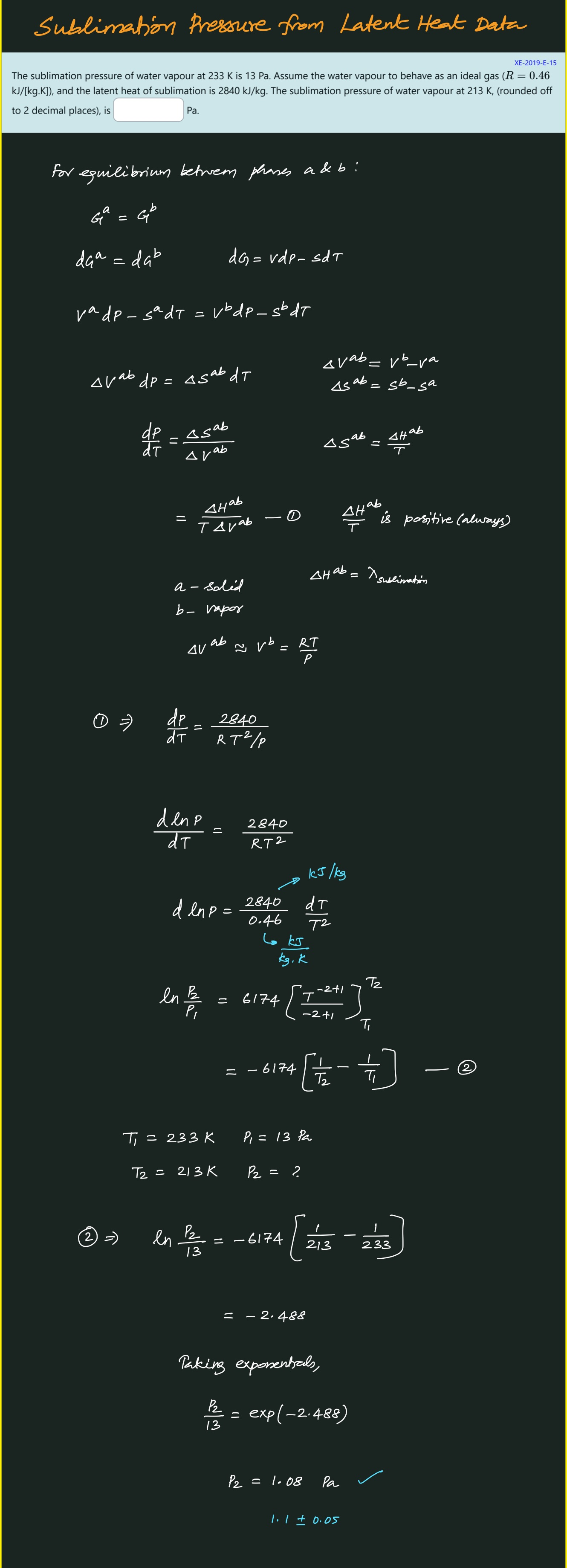
1. Thermodynamic Relations

1.4. Sublimation Pressure from Latent Heat Data