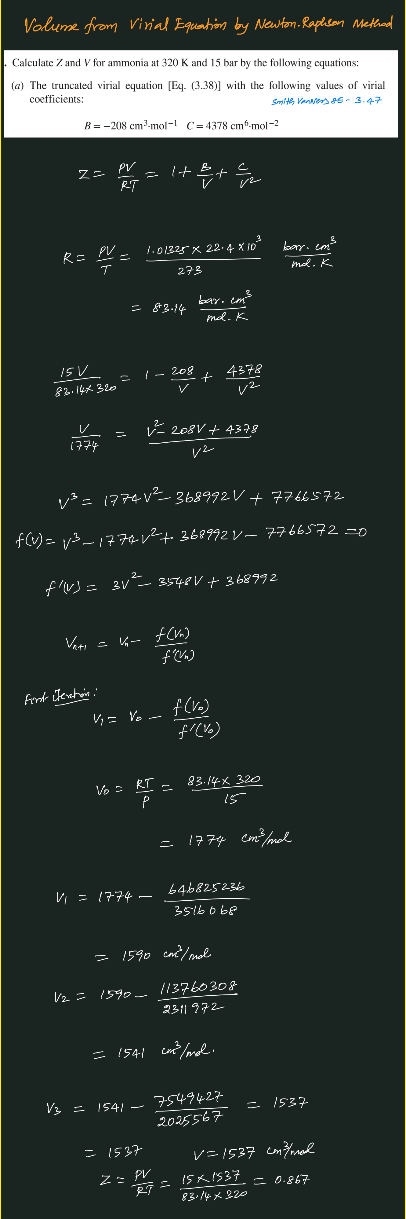
Volume from Virial Equation - Newton-Raphson Method
Completion requirements

Last modified: Wednesday, 29 January 2025, 4:38 PM