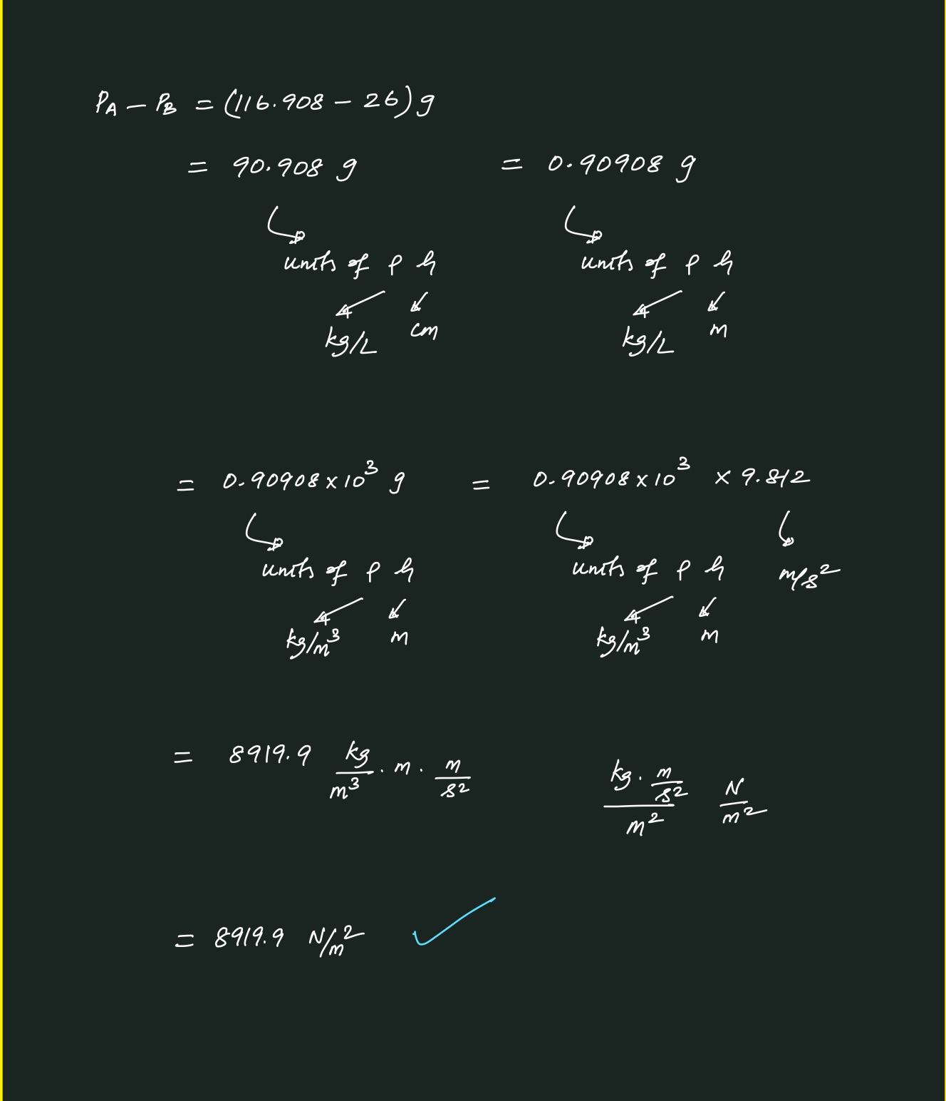
Multifluid U-tube Manometer
Completion requirements


Last modified: Monday, 22 April 2024, 9:11 PM