Skip to main content
MSubbu Academy
  • Home
  • ChE-Tests
    Tests-Process Calculations Tests-Thermodynamics Tests-Fluid Mechanics Tests-Mechanical Operations Tests-Heat Transfer Tests-Mass Transfer Tests-Reaction Engineering Tests-Process Control Tests-Process Economics Tests-Process Equipment Design Tests-Mathematics
    ChE-Tests-Bundle
  • GATE Coaching
    2026-Regular 2026-FastTrack
  • Chem Place
  • ChE Textual Courses
    Process Calculations Thermodynamics Fluid Mechanics Mechanical Operations Heat Transfer Mass Transfer Reaction Engineering Process Control Process Economics Process Equipment Design Chemical Technology Mathematics GATE-CH
    Bundle of ChE Textual Courses
  • ChE Video Lectures
    Process Calculations - Video Lectures Thermodynamics - Video Lectures Fluid Mechanics - Video Lectures Mechanical Operations - Video Lectures Heat Transfer - Video Lectures Mass Transfer - Video Lectures Reaction Engineering - Video Lectures Process Control - Video Lectures Process Economics - Video Lectures Process Equipment Design - Video Lectures Chemical Technology - Video Lectures Mathematics - Video Lectures
    Bundle of ChE Video Lectures
  • General Aptitude
    Verbal Ability Numerical Ability GATE-GA
    Bundle of General Aptitude Courses
  • Softwares
    MATLAB LaTeX
  • Introductory / Free Courses
    Intro to ChE Process Calculations - Free Course Thermodynamics - Introductory Course Fluid Mechanics - Free Course Mechanical Operations - Free Course Heat Transfer - Introductory Course Mass Transfer - Free Course Reaction Engineering - Free Course Process Control - Introductory Course
  • msubbu.in
    Lecture Notes Solved Problems GATE-CH Questions Question Bank Books YouTube
  • About Us
  • WhatsApp
  • More
You are currently using guest access
Log in
MSubbu Academy
Home ChE-Tests Collapse Expand
Tests-Process Calculations Tests-Thermodynamics Tests-Fluid Mechanics Tests-Mechanical Operations Tests-Heat Transfer Tests-Mass Transfer Tests-Reaction Engineering Tests-Process Control Tests-Process Economics Tests-Process Equipment Design Tests-Mathematics ChE-Tests-Bundle
GATE Coaching Collapse Expand
2026-Regular 2026-FastTrack
Chem Place ChE Textual Courses Collapse Expand
Process Calculations Thermodynamics Fluid Mechanics Mechanical Operations Heat Transfer Mass Transfer Reaction Engineering Process Control Process Economics Process Equipment Design Chemical Technology Mathematics GATE-CH Bundle of ChE Textual Courses
ChE Video Lectures Collapse Expand
Process Calculations - Video Lectures Thermodynamics - Video Lectures Fluid Mechanics - Video Lectures Mechanical Operations - Video Lectures Heat Transfer - Video Lectures Mass Transfer - Video Lectures Reaction Engineering - Video Lectures Process Control - Video Lectures Process Economics - Video Lectures Process Equipment Design - Video Lectures Chemical Technology - Video Lectures Mathematics - Video Lectures Bundle of ChE Video Lectures
General Aptitude Collapse Expand
Verbal Ability Numerical Ability GATE-GA Bundle of General Aptitude Courses
Softwares Collapse Expand
MATLAB LaTeX
Introductory / Free Courses Collapse Expand
Intro to ChE Process Calculations - Free Course Thermodynamics - Introductory Course Fluid Mechanics - Free Course Mechanical Operations - Free Course Heat Transfer - Introductory Course Mass Transfer - Free Course Reaction Engineering - Free Course Process Control - Introductory Course
msubbu.in Collapse Expand
Lecture Notes Solved Problems GATE-CH Questions Question Bank Books YouTube
About Us WhatsApp
Expand all Collapse all

Blocks

Skip Enrolment

Enrolment

Enrol me in this course

Skip Quick Links

Quick Links

  • Courses and Charges
  • All Courses
  • Contact Us
  • WhatsApp

Discussion

  1. Reaction Engineering - Video Lectures
  2. Kinetics of Homogeneous Reactions
  3. Constant Volume Reactions in Batch Reactor

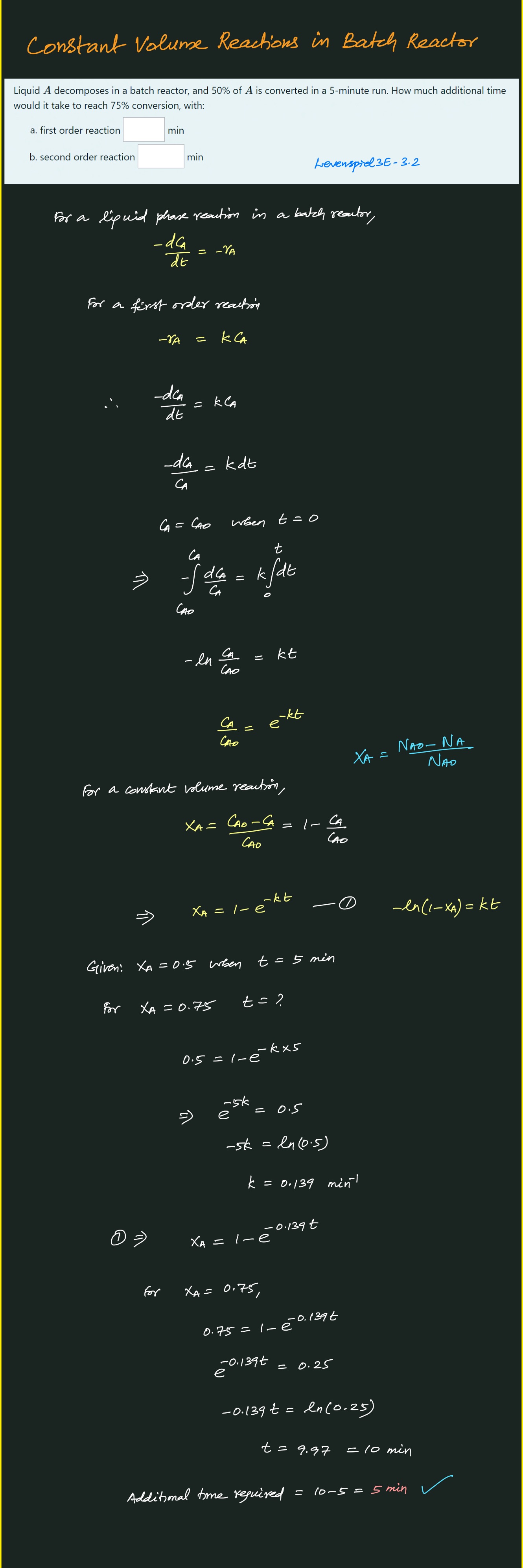
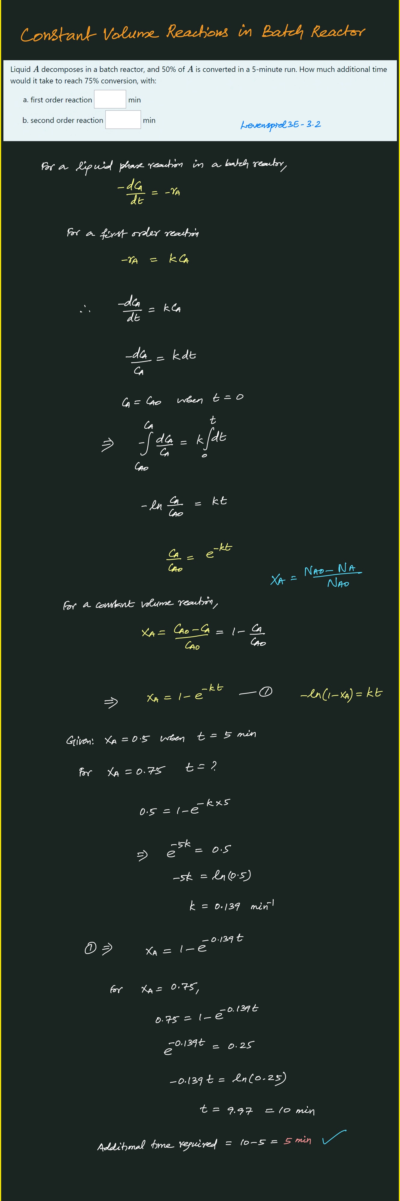
Constant Volume Reactions in Batch Reactor

Completion requirements






Enrol me in this course

first order reaction   second-order reaction  

You are currently using guest access (Log in)
Data retention summary
Get the mobile app
Powered by Moodle