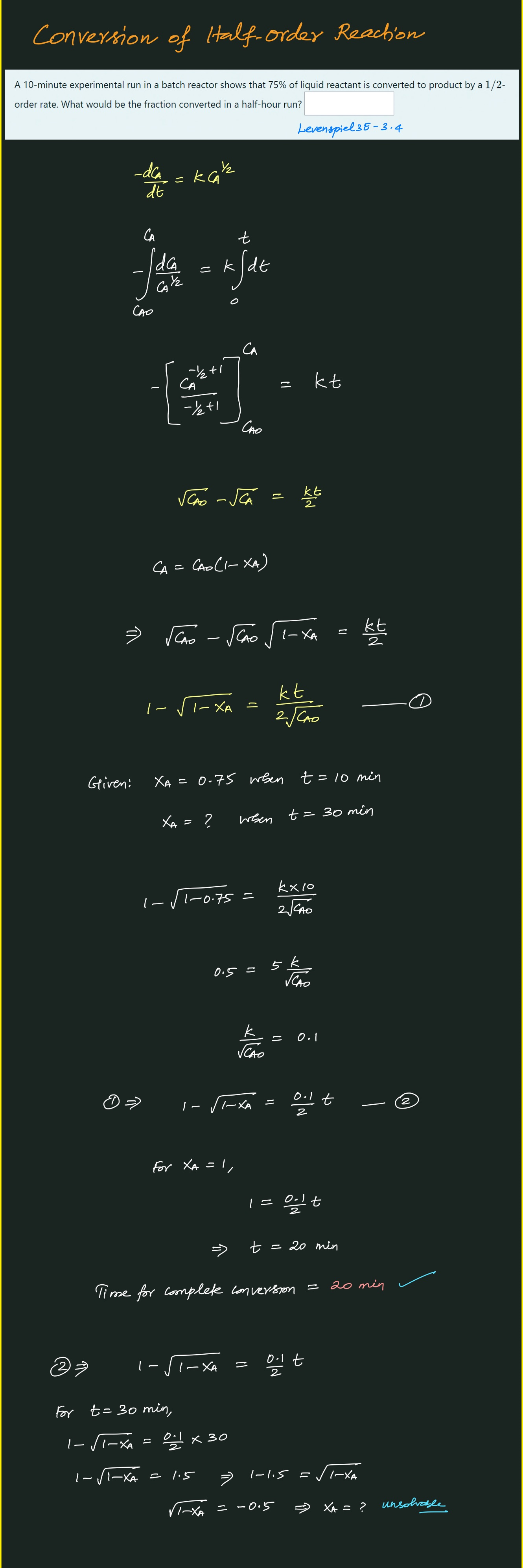
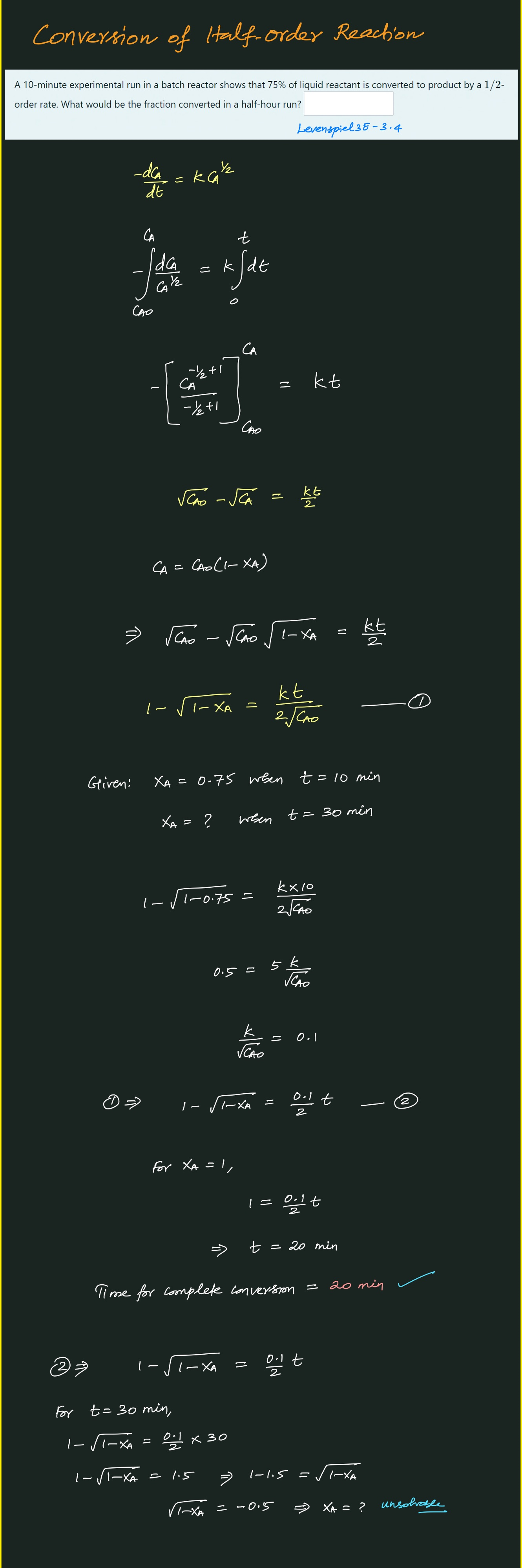
Conversion of Half-Order Reaction
Completion requirements

Last modified: Saturday, 23 November 2024, 12:08 PM