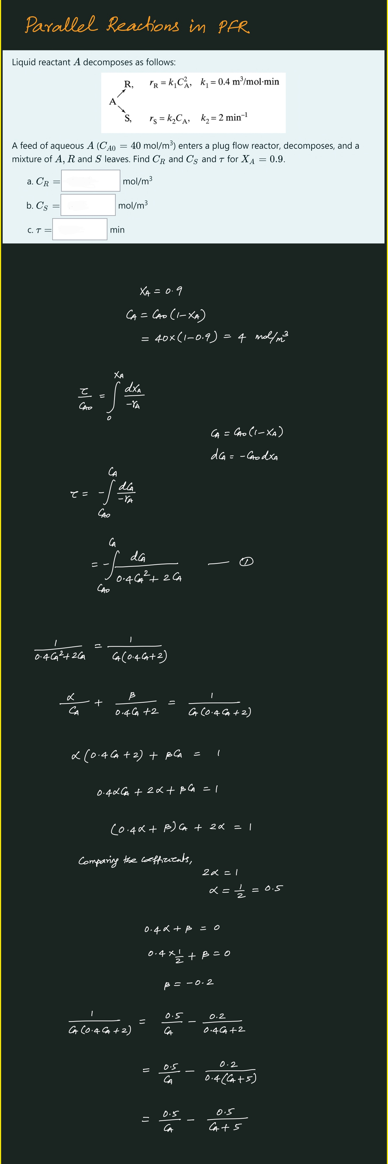
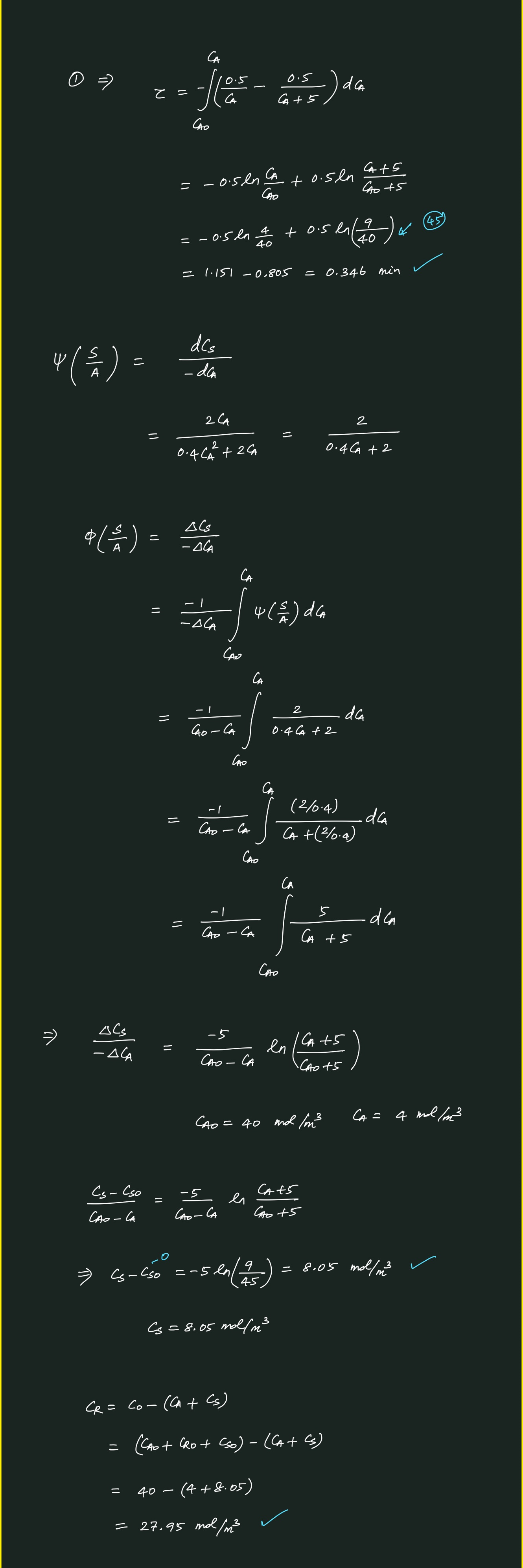
Parallel Reactions in PFR
Completion requirements


Last modified: Monday, 13 May 2024, 8:17 PM