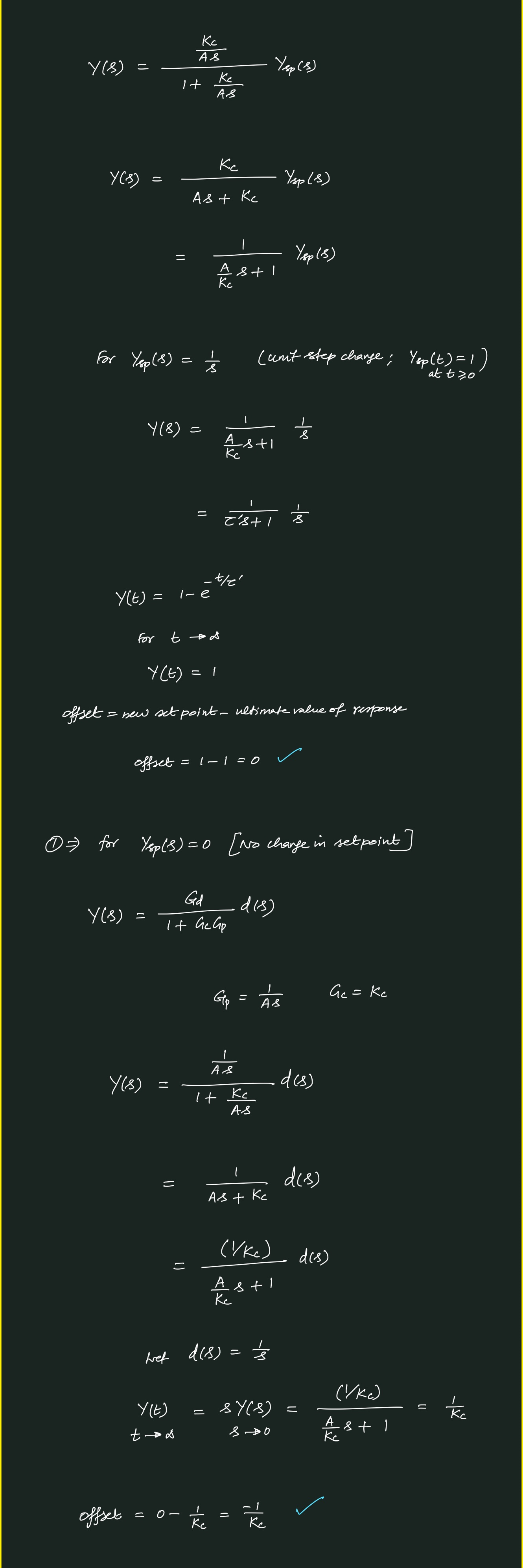
Level Control of a Tank with Proportional Controller
Completion requirements


Last modified: Monday, 16 February 2026, 7:49 AM