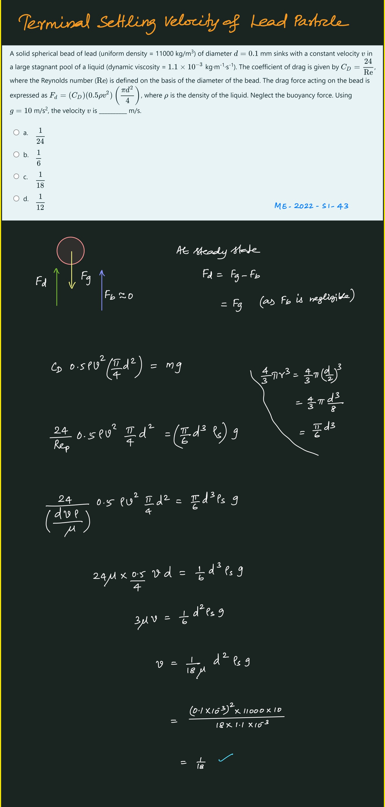
Terminal Settling Velocity of Lead Particle
Completion requirements

Last modified: Sunday, 25 January 2026, 7:48 AM