Skip to main content
Side panel
Home
ChE-Refresher
ChE-Tests
Tests-Process Calculations
Tests-Thermodynamics
Tests-Fluid Mechanics
Tests-Mechanical Operations
Tests-Heat Transfer
Tests-Mass Transfer
Tests-Reaction Engineering
Tests-Process Control
Tests-Process Economics
Tests-Process Equipment Design
Tests-Mathematics
ChE-Tests-Bundle
GATE Coaching
2026-Regular
2026-FastTrack
Chem Place
ChE Textual Courses
Process Calculations
Thermodynamics
Fluid Mechanics
Mechanical Operations
Heat Transfer
Mass Transfer
Reaction Engineering
Process Control
Process Economics
Process Equipment Design
Chemical Technology
Mathematics
GATE-CH
Bundle of ChE Textual Courses
ChE Video Lectures
Process Calculations - Video Lectures
Thermodynamics - Video Lectures
Fluid Mechanics - Video Lectures
Mechanical Operations - Video Lectures
Heat Transfer - Video Lectures
Mass Transfer - Video Lectures
Reaction Engineering - Video Lectures
Process Control - Video Lectures
Process Economics - Video Lectures
Process Equipment Design - Video Lectures
Chemical Technology - Video Lectures
Mathematics - Video Lectures
Bundle of ChE Video Lectures
General Aptitude
Verbal Ability
Numerical Ability
GATE-GA
Bundle of General Aptitude Courses
Softwares
MATLAB
LaTeX
Introductory / Free Courses
Intro to ChE
Process Calculations - Free Course
Thermodynamics - Introductory Course
Fluid Mechanics - Free Course
Mechanical Operations - Free Course
Heat Transfer - Introductory Course
Mass Transfer - Free Course
Reaction Engineering - Free Course
Process Control - Introductory Course
msubbu.in
Lecture Notes
Solved Problems
GATE-CH Questions
Question Bank
Books
YouTube
About Us
WhatsApp
More
You are currently using guest access
Log in
Home
ChE-Refresher
ChE-Tests
Collapse
Expand
Tests-Process Calculations
Tests-Thermodynamics
Tests-Fluid Mechanics
Tests-Mechanical Operations
Tests-Heat Transfer
Tests-Mass Transfer
Tests-Reaction Engineering
Tests-Process Control
Tests-Process Economics
Tests-Process Equipment Design
Tests-Mathematics
ChE-Tests-Bundle
GATE Coaching
Collapse
Expand
2026-Regular
2026-FastTrack
Chem Place
ChE Textual Courses
Collapse
Expand
Process Calculations
Thermodynamics
Fluid Mechanics
Mechanical Operations
Heat Transfer
Mass Transfer
Reaction Engineering
Process Control
Process Economics
Process Equipment Design
Chemical Technology
Mathematics
GATE-CH
Bundle of ChE Textual Courses
ChE Video Lectures
Collapse
Expand
Process Calculations - Video Lectures
Thermodynamics - Video Lectures
Fluid Mechanics - Video Lectures
Mechanical Operations - Video Lectures
Heat Transfer - Video Lectures
Mass Transfer - Video Lectures
Reaction Engineering - Video Lectures
Process Control - Video Lectures
Process Economics - Video Lectures
Process Equipment Design - Video Lectures
Chemical Technology - Video Lectures
Mathematics - Video Lectures
Bundle of ChE Video Lectures
General Aptitude
Collapse
Expand
Verbal Ability
Numerical Ability
GATE-GA
Bundle of General Aptitude Courses
Softwares
Collapse
Expand
MATLAB
LaTeX
Introductory / Free Courses
Collapse
Expand
Intro to ChE
Process Calculations - Free Course
Thermodynamics - Introductory Course
Fluid Mechanics - Free Course
Mechanical Operations - Free Course
Heat Transfer - Introductory Course
Mass Transfer - Free Course
Reaction Engineering - Free Course
Process Control - Introductory Course
msubbu.in
Collapse
Expand
Lecture Notes
Solved Problems
GATE-CH Questions
Question Bank
Books
YouTube
About Us
WhatsApp
Expand all
Collapse all
Open course index
Open block drawer
Thermodynamics
Basic Concepts
Video Lectures
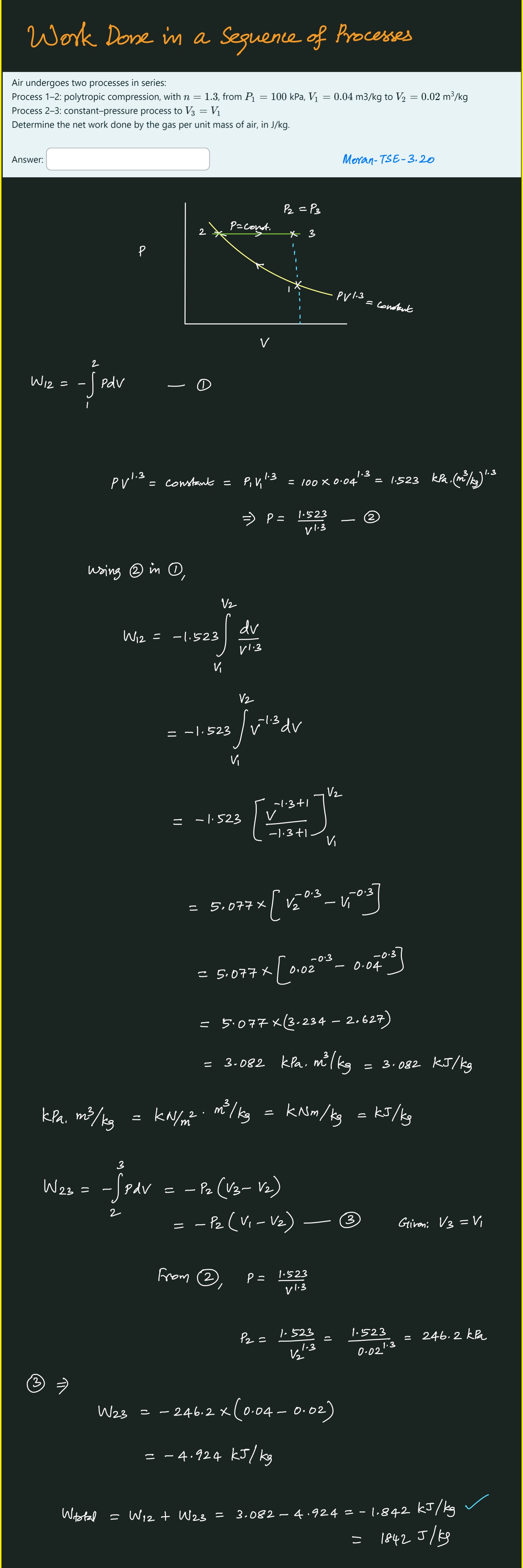
Work Done in a Sequence of Processes
Work Done in a Sequence of Processes
Completion requirements
constant pressure process
polytropic process
work
Last modified: Sunday, 2 November 2025, 8:48 PM