Processes in Piston-Cylinder System
Completion requirements

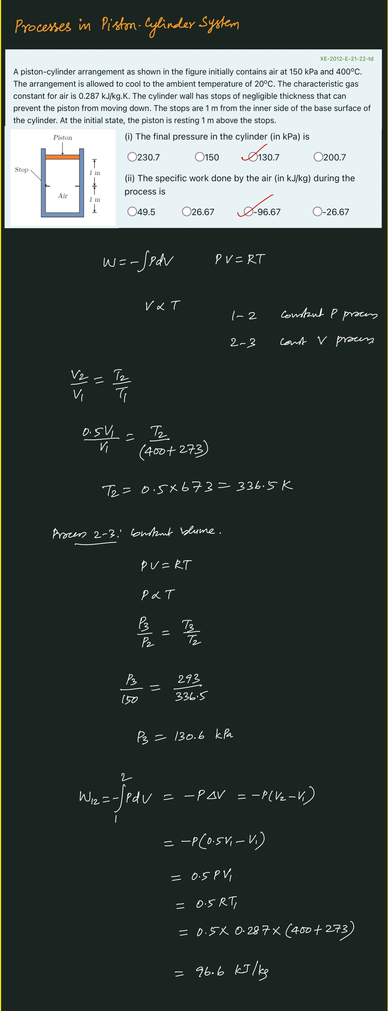
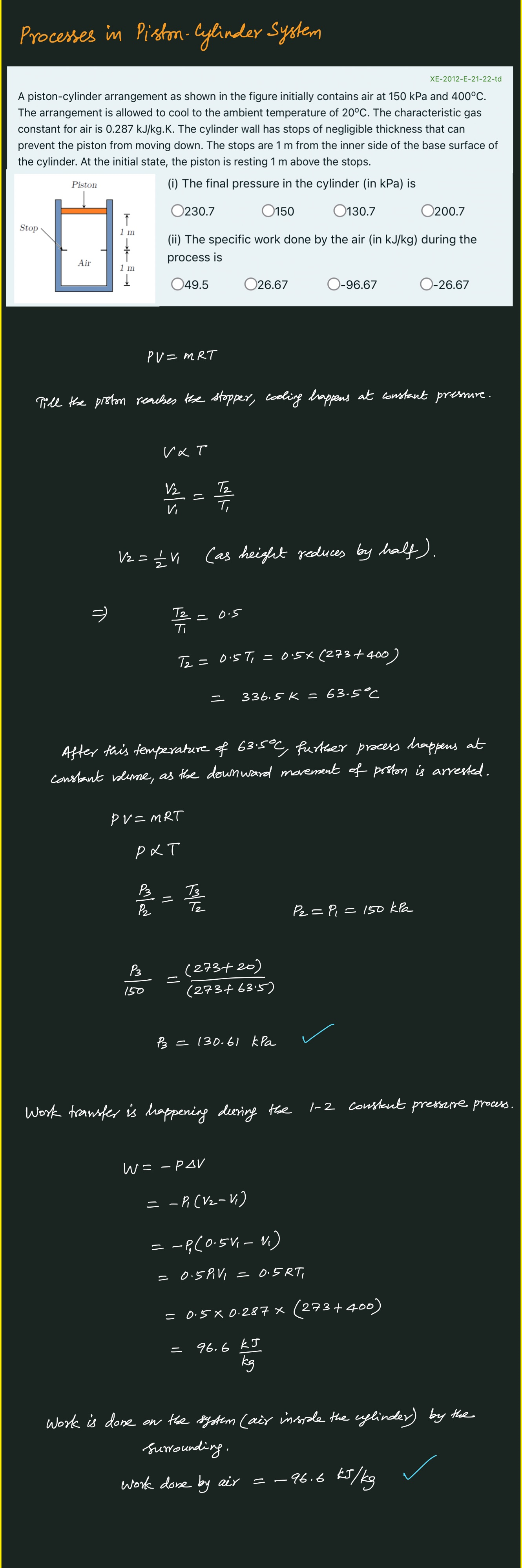
Prepared Solution:

Last modified: Sunday, 2 November 2025, 8:50 PM

Prepared Solution:
