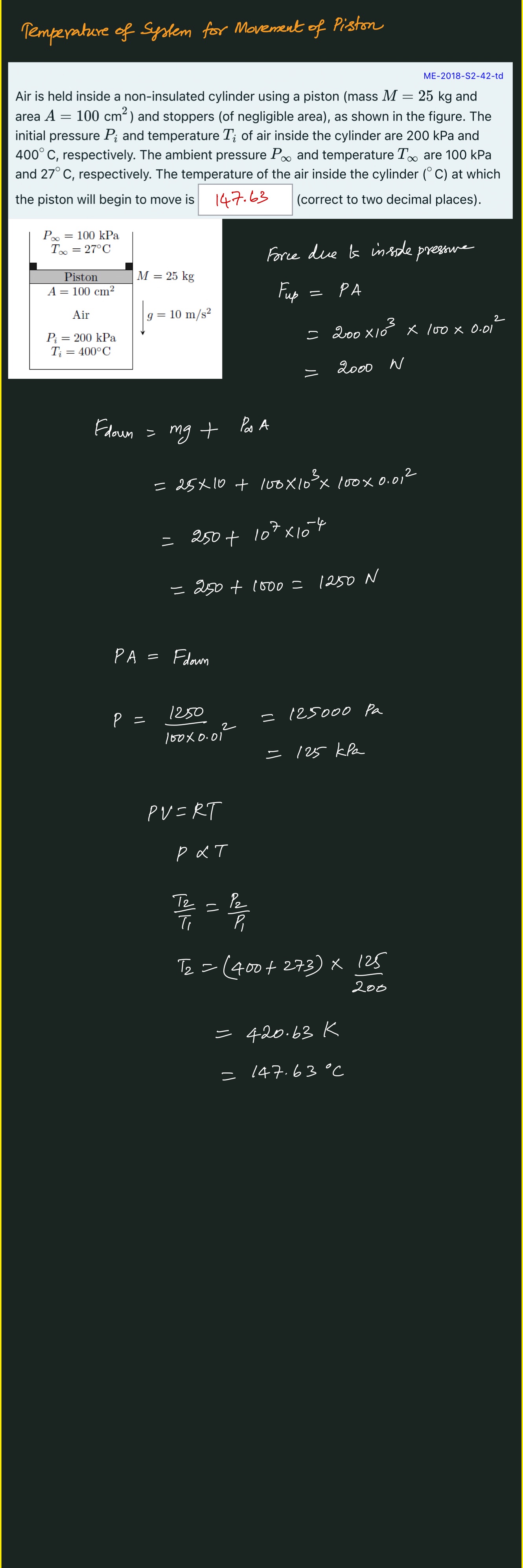
Temperature of System for Movement of Piston
Completion requirements

Prepared Solution:

Last modified: Sunday, 2 November 2025, 8:54 PM

Prepared Solution:
