FM-Class-2
Completion requirements
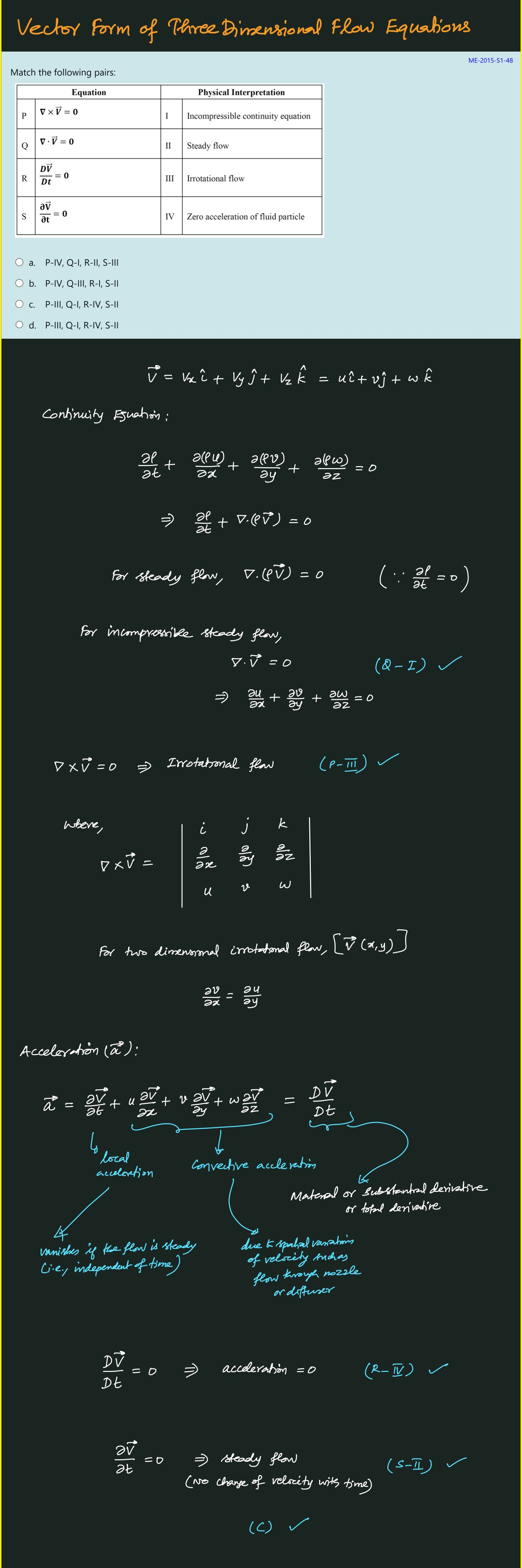
Flow Meters, Frictional Losses, Differential Equations of Flow
12-Oct-2025, 10 to 11:30 am
