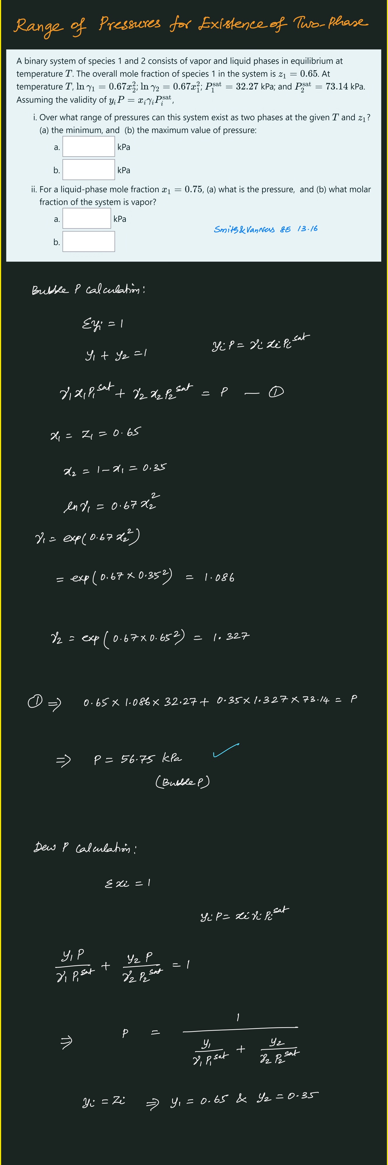
Range of Pressures for Existence of Two Phase
Completion requirements




Last modified: Friday, 31 January 2025, 4:43 PM