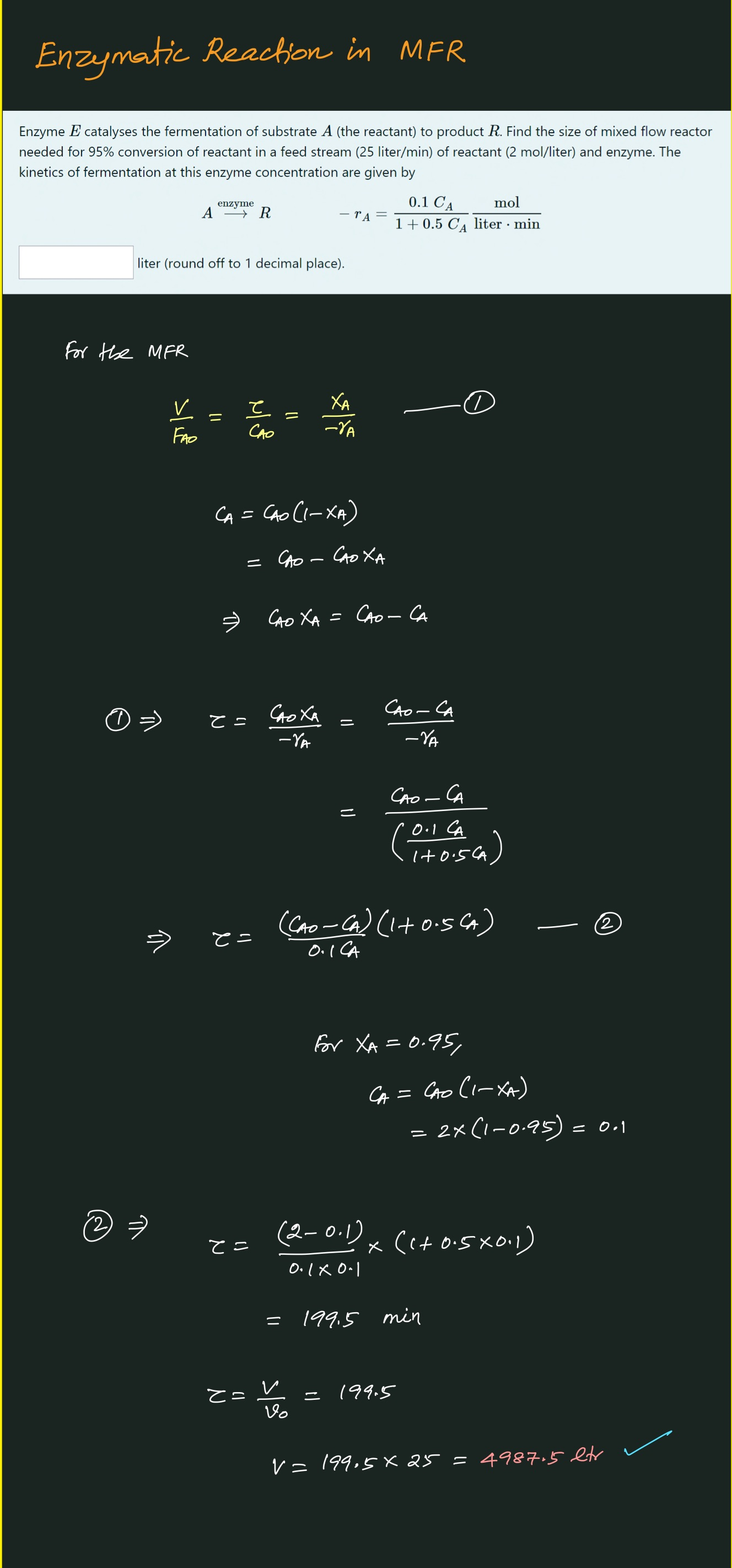
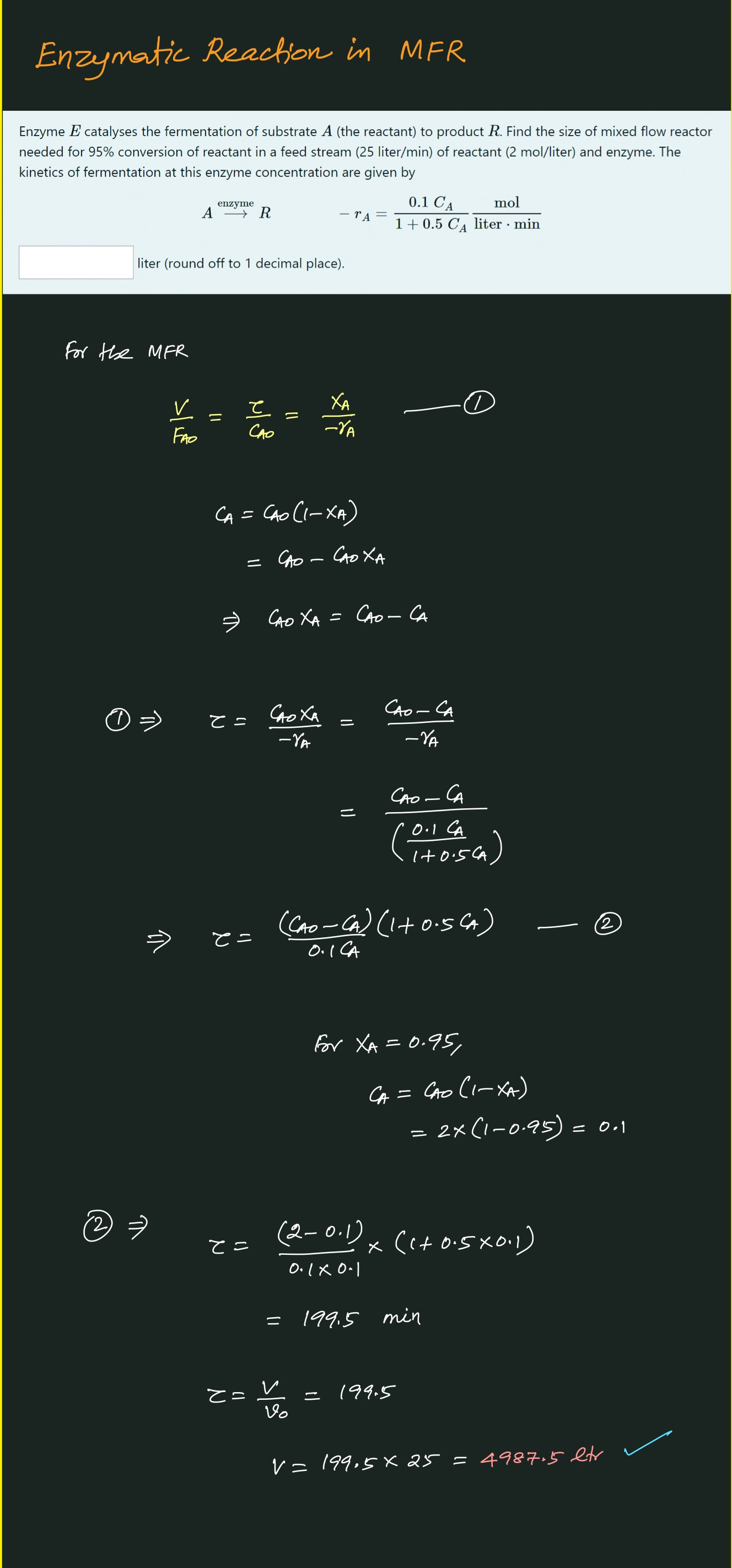
Enzymatic Reaction in MFR
Completion requirements

Last modified: Monday, 13 May 2024, 8:04 PM